3 Series E46 316Ci (M43TU) COUPE
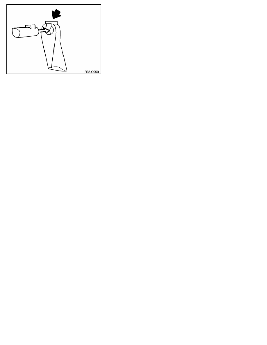
Turn accelerator pedal until linkage lug of pedal engages in
opening and remove pedal.
Installation:
Lightly grease sliding surface of accelerator pedal.
RA Removing and installing/replacing accelerator pedal
BMW AG - TIS
17.01.2013 14:53
Issue status (12/2007) Valid only until next DVD is issued
Copyright
Page - 2 -
