3 Series E46 318ti (N42) COMP
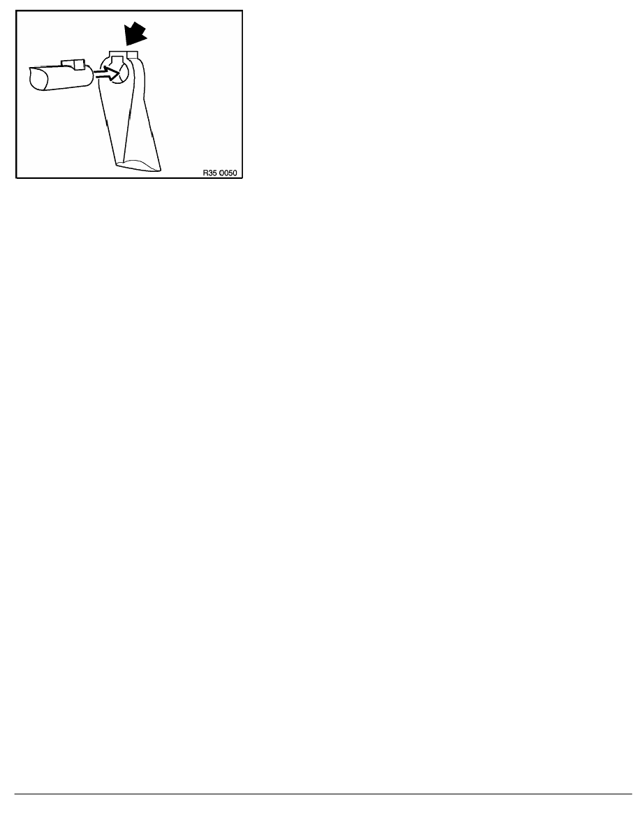
Turn accelerator pedal until linkage lug of pedal engages in
opening and remove pedal.
Installation:
Lightly grease sliding surface of accelerator pedal.
RA Removing and installing/replacing accelerator pedal
BMW AG - TIS
12.02.2013 07:27
Issue status (12/2007) Valid only until next DVD is issued
Copyright
Page - 2 -
