Challenger V6-3.5L (2009)
6. Check the transmission oil temperature using the appropriate scan tool.
NOTE: The true transmission oil temperature can only be read by a scan tool with the transmission in REVERSE or any forward gear
position. See: Description and Operation/NAG1 Automatic Transmission/Temperature Sensor/Park-Neutral Contact - Operation
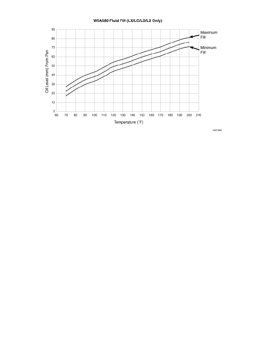
7. The transmission Oil Dipstick 9336A has indicator marks every 10 mm. With the transmission in PARK, determine the height of the oil level on
the dipstick. Using the height, the transmission temperature and the transmission fluid graph, determine if the transmission oil level is correct.
8. Add or remove the oil as necessary and recheck the oil level.
9. Once the oil level is correct, install the dipstick tube cap.
Transmission Fill
TRANSMISSION FILL
To avoid overfilling transmission after a fluid change or overhaul, perform the following procedure:
1. Verify that the vehicle is parked on a level surface.
2. Remove the dipstick tube cap.
3. Add following initial quantity of Mopar(R) ATF +4, Automatic Transmission Fluid, to the transmission:
a. If only fluid and filter were changed, add 5.0 L (10.6pts.) of transmission fluid to transmission.
b. If the transmission was completely overhauled or the torque converter was replaced or drained, add 7.7 L (16.3 pts.) of transmission fluid to
transmission.
4. Check the transmission fluid See: Service and Repair/Procedures/NAG1 Automatic Transmission/Transmission Fill and adjust as required.
