RAM 3500 Truck 2WD V8-5.9L VIN Z LDC (1999)
Brake Proportioning/Combination Valve: Testing and Inspection
HEIGHT SENSING PROPORTIONING VALVE
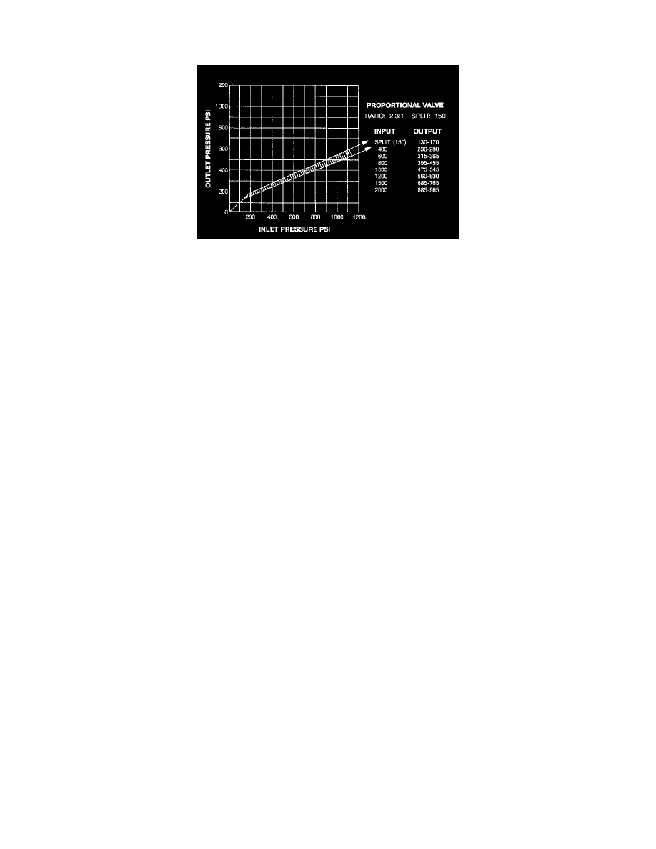
Pressure Chart
The valve has a fixed split point when the vehicle is unloaded. The pressure is equal into and out of the valve up to the 150 psi. split point. After that
the output pressure decreases on a 43 slope.
When the vehicle is loaded the actuator lever is moved upward, allowing full hydraulic pressure to the rear brakes. Hydraulic pressure into the valve is
equal to the pressure coming out of the valve at all times.
