Ford Workshop Service and Repair Manuals
HOME
FEATURES
MENU
INDEX
ABOUT US
Electrical Specifications|Page 2787 >
< Mass Air Flow Sensor - Assembly Replacement|Page 2784
Escort L4-110 1.8L DOHC (1994)
Powertrain Management
Fuel Delivery and Air Induction
Sensors and Switches - Fuel Delivery and Air Induction / Air Flow Meter/Sensor / Component Information
Specifications
Electrical Specifications
Page 1
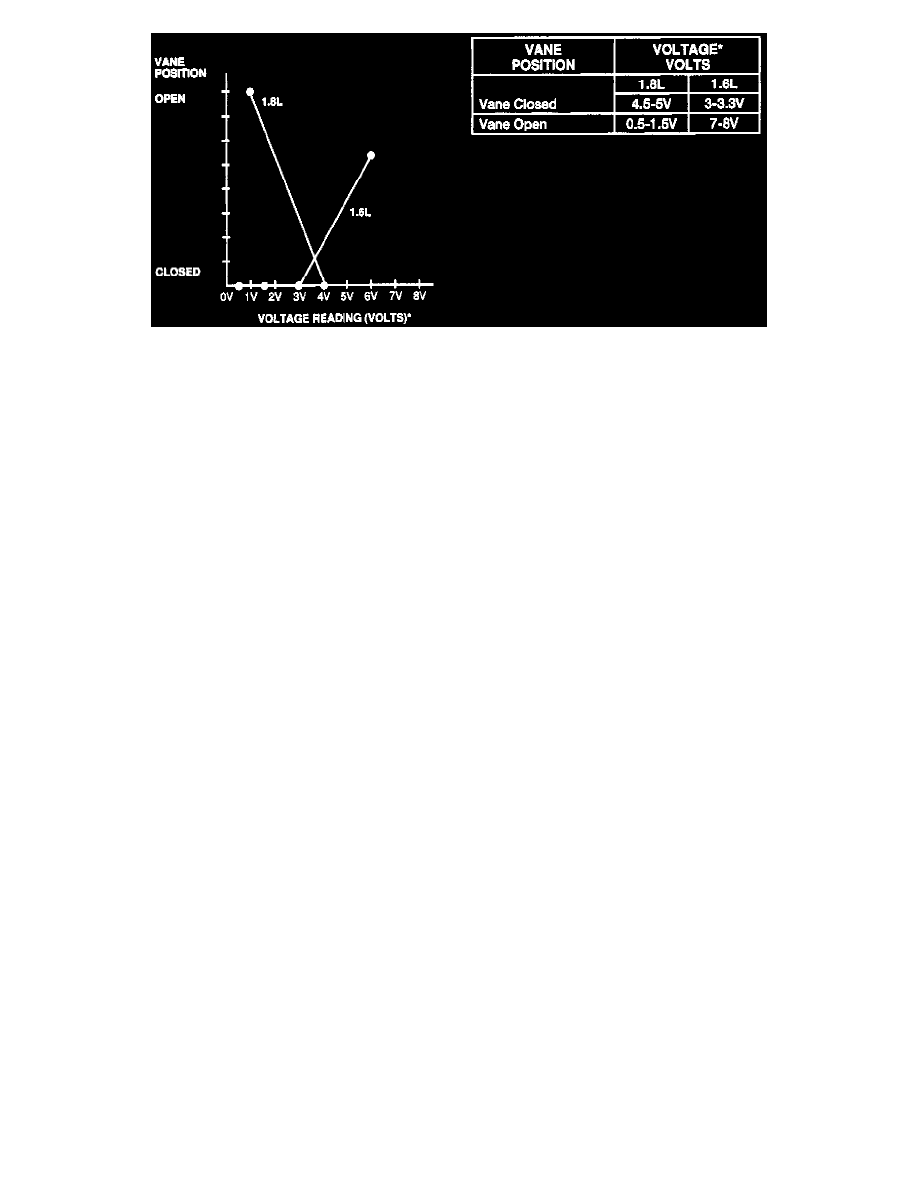
Volume Air Flow Sensor Data
Powertrain Management
Fuel Delivery and Air Induction
Sensors and Switches - Fuel Delivery and Air Induction / Air Flow Meter/Sensor / Component Information
Specifications
Electrical Specifications
Electrical Specifications|Page 2787 >
< Mass Air Flow Sensor - Assembly Replacement|Page 2784