lincoln Workshop Repair Guides

Lincoln Workshop Service and Repair Manuals

Crankshaft Main Bearing|Specifications|Page 2497 > < Crankshaft Main Bearing|Specifications
Page 2
background image

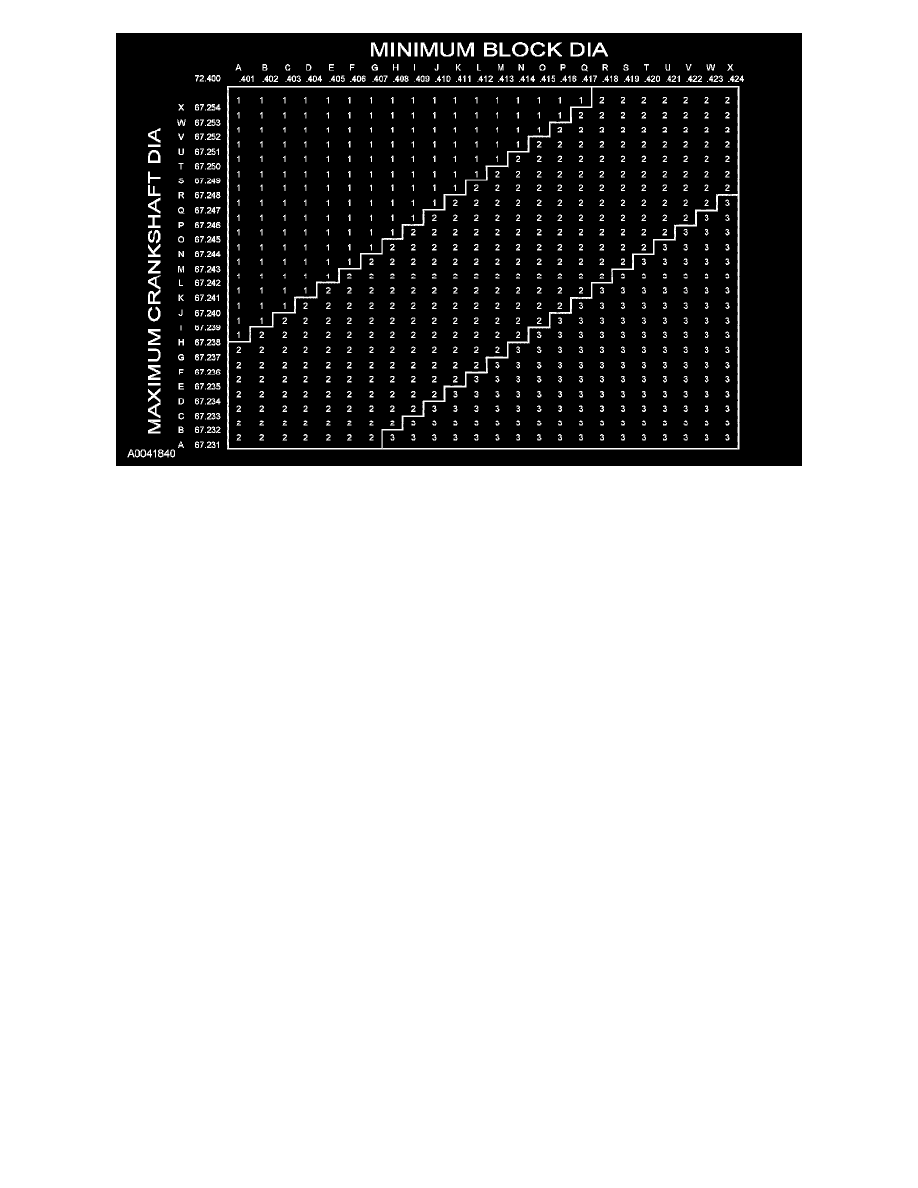
Main bearing size codes

Main bearing cap jack screws and bolts; refer to Engine Assembly for procedure.

Crankshaft Main Bearing|Specifications|Page 2497 > < Crankshaft Main Bearing|Specifications