mercedesbenz Workshop Repair Guides

Mercedes Benz Workshop Service and Repair Manuals

Engine Control Module > < Electronic Throttle Control Module|Diagrams|Connector Views|Page 352
Page 3
background image

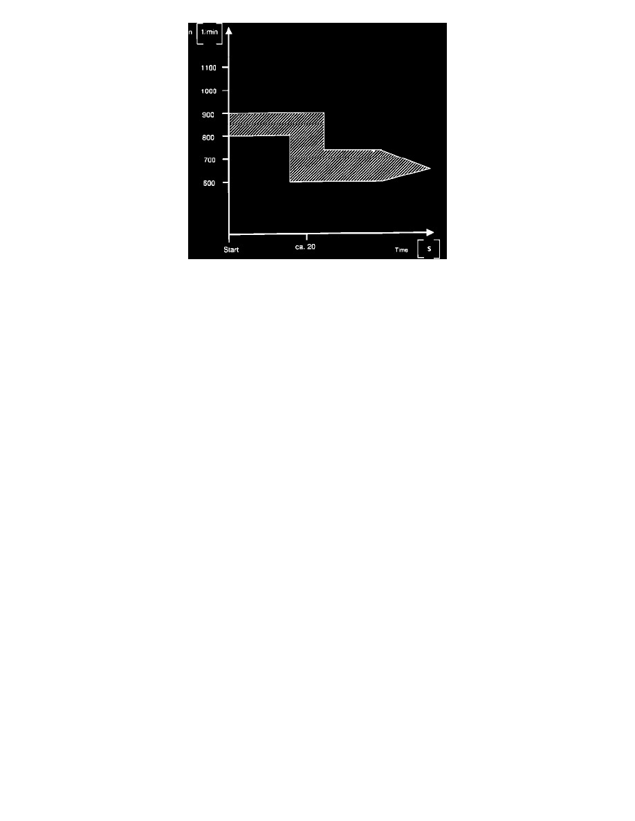
Warm-up RPM Chart

Warm-up Control Function

The warm-up control is effective at all engine temperatures. After each start-up (accelerator pedal in idle position) the engine increases the idle
speed for approx 20 seconds. Between 20 °C (68 °F) and 30 °C (86 °F) the engine speed is 800 - 900 RPM.

DIODE MATRIX SIGNAL

When additional consumers are turned on (e.g. A/C, heated seats, rear window defogger), an engagement signal is transmitted to the diode matrix
(V2) for RPM increase. This signal is passed on to the electronic accelerator control module to increase the idle speed.

A/C engagement Control Function

When the A/C compressor is turned on, the throttle valve opening is increased before the A/C compressor engages. This keeps the engine idle
speed at a nearly constant RPM.

  

 

Engine Control Module > < Electronic Throttle Control Module|Diagrams|Connector Views|Page 352