Suzuki Workshop Service and Repair Manuals
HOME
FEATURES
MENU
INDEX
ABOUT US
Electrical Specifications|Page 84 >
< Wiper Relay|Testing and Inspection
Samurai 4WD L4-1324cc 1.3L SOHC 5 TBI 8V (1990)
Sensors and Switches
Sensors and Switches - Cooling System
Engine - Coolant Temperature Sensor/Switch
Engine Temperature Sensor
Component Information
Specifications
Electrical Specifications
Page 1
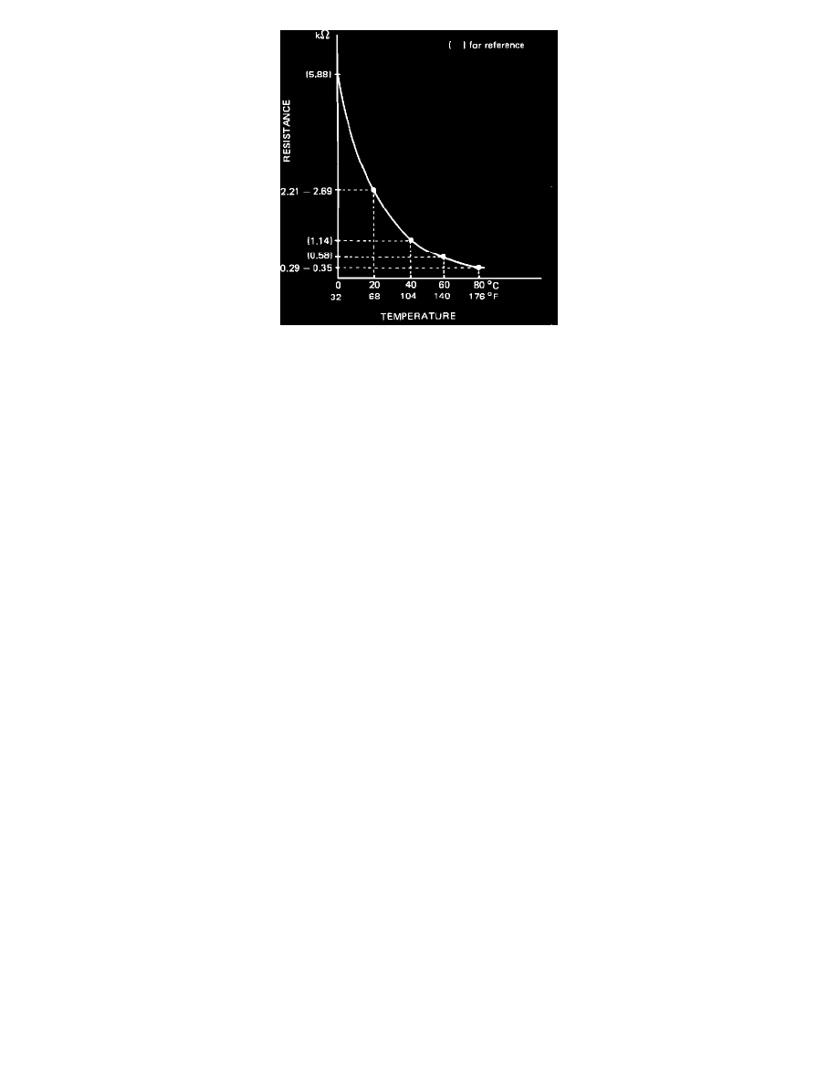
WTS Temperature Vs. Resistance Specification
Sensors and Switches
Sensors and Switches - Cooling System
Engine - Coolant Temperature Sensor/Switch
Engine Temperature Sensor
Component Information
Specifications
Electrical Specifications
Electrical Specifications|Page 84 >
< Wiper Relay|Testing and Inspection