6 L4-2.5L (2010)
Ambient Temperature Sensor / Switch HVAC: Testing and Inspection
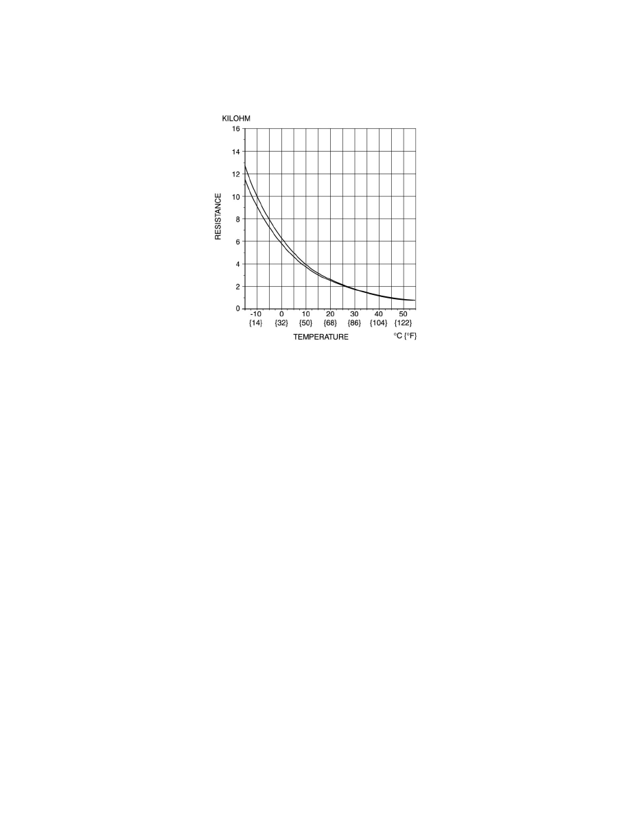
Ambient Temperature Sensor Inspection - Manual Air Conditioner
AMBIENT TEMPERATURE SENSOR INSPECTION [MANUAL AIR CONDITIONER]
1. Measure the temperature around the ambient temperature sensor and measure the resistance between the ambient temperature sensor terminal.
-
If the characteristics of the ambient temperature sensor are not as shown in the graph, replace the ambient temperature sensor.
