mazda Workshop Repair Guides

Mazda Workshop Service and Repair Manuals

Component Tests and General Diagnostics|Page 2826 > < Component Tests and General Diagnostics|Page 2824
Page 11
background image

Generated pulse (reference)

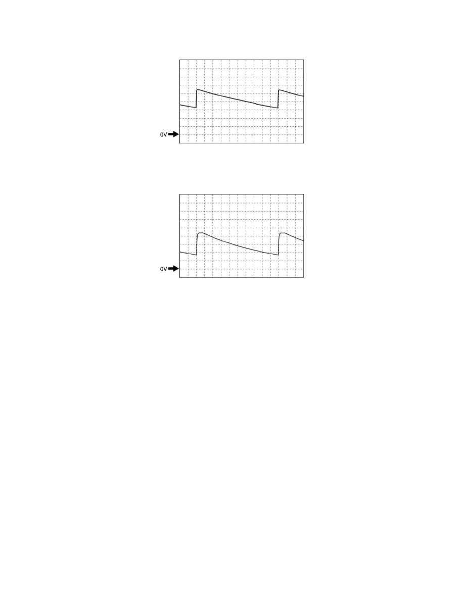
Pattern 1

-

Terminal: 8G (+) <-> body ground (-)

-

Oscilloscope setting: 2 V/DIV (Y), 1 ms/DIV (X), DC range

Pattern 2

-

Terminal: 8G (+) <-> body ground (-)

-

Oscilloscope setting: 1 V/DIV (Y), 1 ms/DIV (X), DC range

Component Tests and General Diagnostics|Page 2826 > < Component Tests and General Diagnostics|Page 2824