6 L4-2.5L (2010)
Generated pulse (reference)
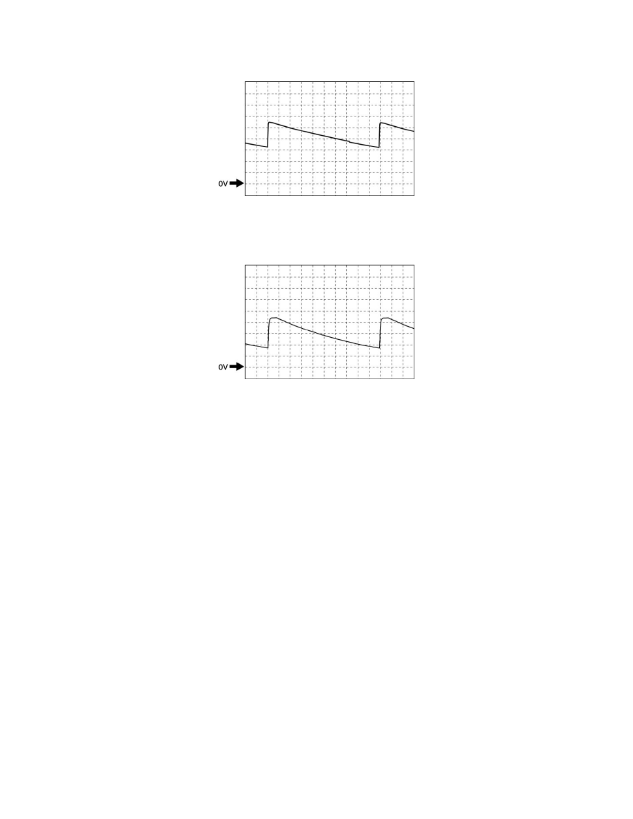
Pattern 1
-
Terminal: 8G (+) <-> body ground (-)
-
Oscilloscope setting: 2 V/DIV (Y), 1 ms/DIV (X), DC range
Pattern 2
-
Terminal: 8G (+) <-> body ground (-)
-
Oscilloscope setting: 1 V/DIV (Y), 1 ms/DIV (X), DC range
