Camry CE Sedan L4-2164cc 2.2L DOHC (5S-FE) MFI (1999)
Intake Air Temperature Sensor: Description and Operation
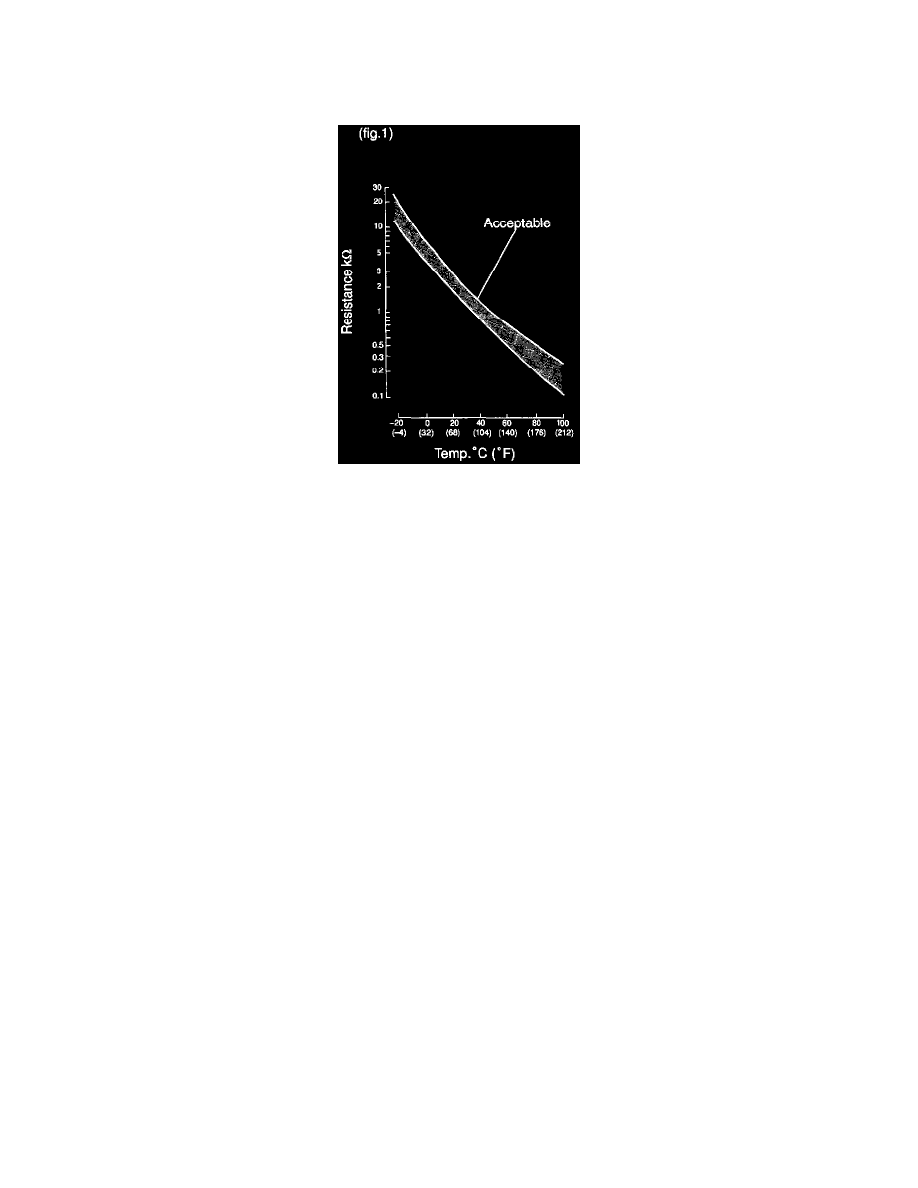
The intake air temperature sensor is built into the air cleaner cap and senses the intake air temperature. A thermistor built in the sensor changes the
resistance value according to the intake air temperature.
Figure 1
The lower the intake air temperature, the greater the thermistor resistance value, and the higher the intake air temperature, the lower the thermistor
resistance value.
The intake air temperature sensor is connected to the ECM. The 5 V power source voltage in the ECM is applied to the intake air temperature sensor
from the terminal THA via a resistor R. That is, the resistor R and the intake air temp. sensor are connected in series. When the resistance value of the
intake air temp. sensor changes in accordance with changes in the intake air temperature, the potential at terminal THA also changes. Based on this
signal, the ECM increases the fuel injection volume to improve driveability during cold engine operation.
