Toyota Workshop Service and Repair Manuals
HOME
FEATURES
MENU
INDEX
ABOUT US
Recall -Potential Spare Tire Carrier Cable Separation|Page 5660 >
< Sound Proofing / Insulation|Locations
Sienna V6-3.0L (1MZ-FE) (2003)
Body and Frame
Spare Tire Carrier
Component Information
Technical Service Bulletins
Recalls:
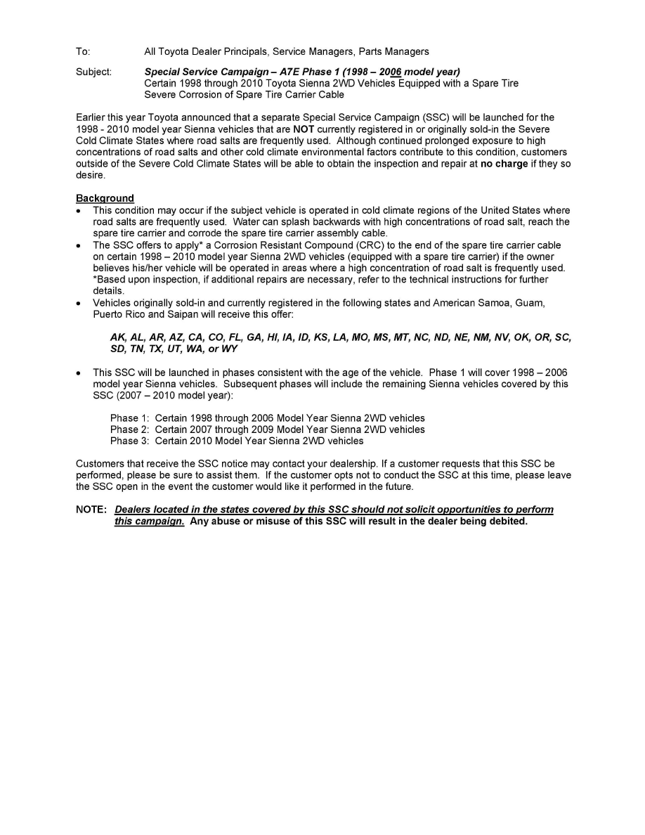
SC-A7EPH1
Nov
10
Recall -Potential Spare Tire Carrier Cable Separation
Page 1
Technical Service Bulletin #
SC-A7EPH1
Date:
101111
Body and Frame
Spare Tire Carrier
Component Information
Technical Service Bulletins
Recalls:
SC-A7EPH1
Nov
10
Recall -Potential Spare Tire Carrier Cable Separation
Recall -Potential Spare Tire Carrier Cable Separation|Page 5660 >
< Sound Proofing / Insulation|Locations