Toyota Workshop Service and Repair Manuals
HOME
FEATURES
MENU
INDEX
ABOUT US
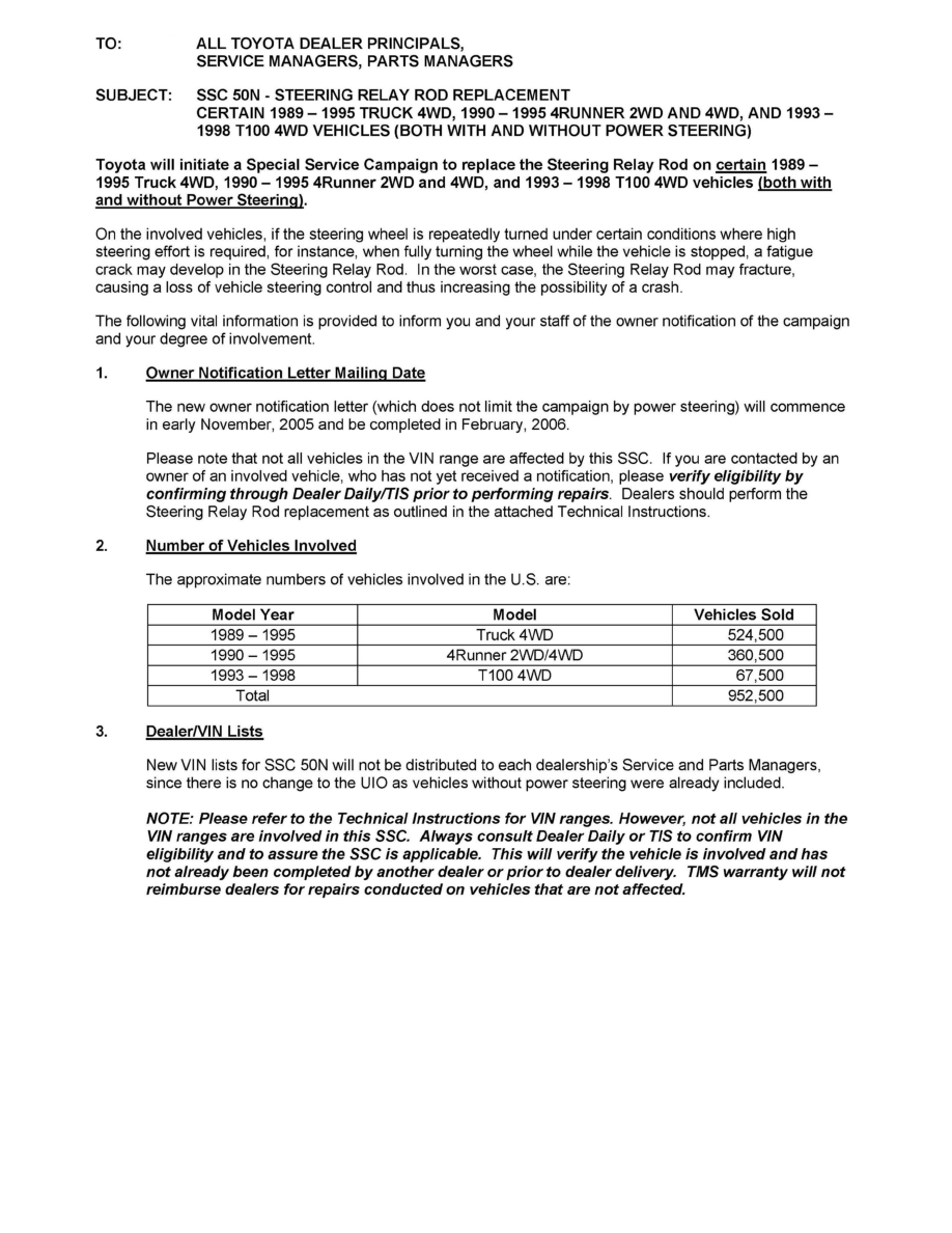
Recall - Steering Relay Rod Replacement|Page 4060 >
< Recall - Steering Relay Rod Replacement
T100 Pickup 4WD V6-180.5 2959cc 3.0L SOHC (3VZ-E) (1993)
Steering and Suspension
Steering
Tie Rod / Technical Service Bulletins
Recalls for Tie Rod: / SSC50N / Oct / 05 / Recall - Steering Relay Rod Replacement
Page 4059
Page 2
Steering and Suspension
Steering
Tie Rod / Technical Service Bulletins
Recalls for Tie Rod: / SSC50N / Oct / 05 / Recall - Steering Relay Rod Replacement
Page 4059
Recall - Steering Relay Rod Replacement|Page 4060 >
< Recall - Steering Relay Rod Replacement