Toyota Workshop Service and Repair Manuals
HOME
FEATURES
MENU
INDEX
ABOUT US
Recall - Occupant Classification System Lamp Lens|Page 7765 >
< Anti-Lock Brake System|Page 7756
Tundra 2WD V6-4.0L (1GR-FE) (2005)
Instrument Panel, Gauges and Warning Indicators
Air Bag Deactivation Indicator
Component Information
Technical Service Bulletins
All Technical Service Bulletins for Air Bag Deactivation Indicator:
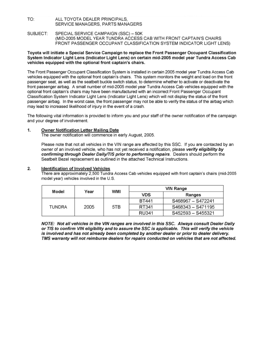
SSC50K
Aug
05
Recall - Occupant Classification System Lamp Lens
Page 1
Technical Service Bulletin #
SSC50K
Date:
050801
Instrument Panel, Gauges and Warning Indicators
Air Bag Deactivation Indicator
Component Information
Technical Service Bulletins
All Technical Service Bulletins for Air Bag Deactivation Indicator:
SSC50K
Aug
05
Recall - Occupant Classification System Lamp Lens
Recall - Occupant Classification System Lamp Lens|Page 7765 >
< Anti-Lock Brake System|Page 7756