Volvo Workshop Service and Repair Manuals
HOME
FEATURES
MENU
INDEX
ABOUT US
Barometric Pressure Sensor|Specifications|Page 7555 >
< Diagram Information and Instructions|Page 7551
C70 L5-2.4L Turbo VIN 56 B5254T (1998)
Sensors and Switches
Sensors and Switches - Powertrain Management / Sensors and Switches - Computers and Control Systems
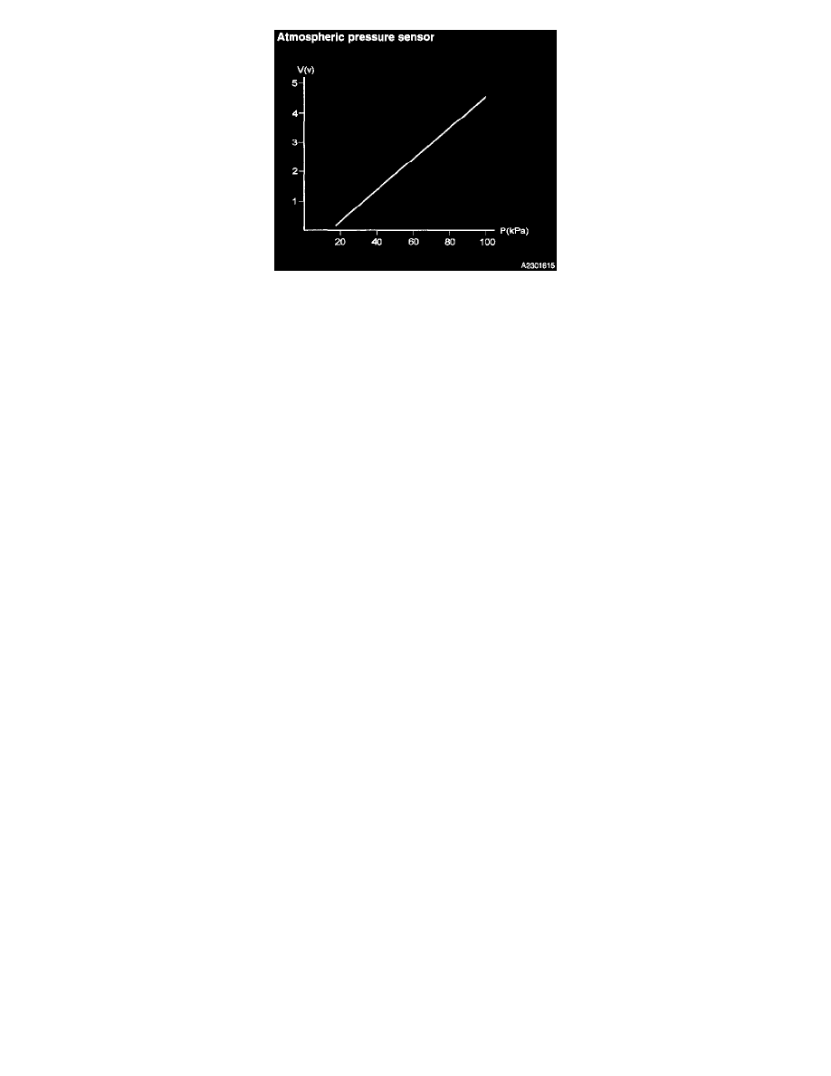
Barometric Pressure Sensor
Component Information
Specifications
Page 1
Sensors and Switches
Sensors and Switches - Powertrain Management / Sensors and Switches - Computers and Control Systems
Barometric Pressure Sensor
Component Information
Specifications
Barometric Pressure Sensor|Specifications|Page 7555 >
< Diagram Information and Instructions|Page 7551