Toyota Workshop Service and Repair Manuals
HOME
FEATURES
MENU
INDEX
ABOUT US
Recall -Potential Spare Tire Carrier Cable Separation|Page 5744 >
< Recall 10V160000: Spare Tire Retainer Cable Corrosion
Sienna V6-3.0L (1MZ-FE) (2003)
Body and Frame
Spare Tire Carrier / Technical Service Bulletins
All Technical Service Bulletins for Spare Tire Carrier:
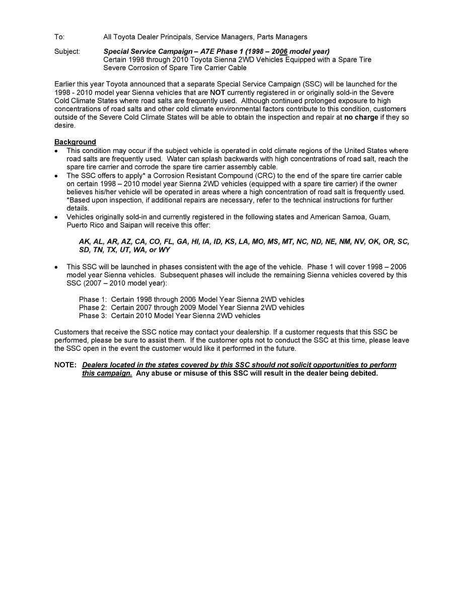
SC-A7EPH1
Nov
10
Recall -Potential Spare Tire Carrier Cable Separation
Page 1
Technical Service Bulletin #
SC-A7EPH1
Date:
101111
Body and Frame
Spare Tire Carrier / Technical Service Bulletins
All Technical Service Bulletins for Spare Tire Carrier:
SC-A7EPH1
Nov
10
Recall -Potential Spare Tire Carrier Cable Separation
Recall -Potential Spare Tire Carrier Cable Separation|Page 5744 >
< Recall 10V160000: Spare Tire Retainer Cable Corrosion